ಬೆಂಗಳೂರು: ರಾಜ್ಯ ಸರ್ಕಾರಿ ನೌಕರರ ಹಾಜರಾತಿ ವ್ಯವಸ್ಥೆಯಲ್ಲಿ ಸರ್ಕಾರ ಮಹತ್ವದ ಬದಲಾವಣೆ ತಂದಿದೆ. ಇನ್ನು ಮುಂದೆ ನೌಕರರು ಕಚೇರಿಗಳಲ್ಲಿ ಹಳೆಯ ಬೆರಳಚ್ಚು ಆಧಾರಿತ ಬಯೋಮೆಟ್ರಿಕ್ ಯಂತ್ರಗಳ ಮುಂದೆ ಸಾಲು ನಿಲ್ಲುವ ಅಗತ್ಯವಿಲ್ಲ. ಬದಲಾಗಿ, ತಮ್ಮ ಮೊಬೈಲ್ ಮೂಲಕವೇ ಹಾಜರಾತಿ ದಾಖಲಿಸುವ ‘ಕರ್ತವ್ಯ’ (Kartavya) ಎಂಬ ನೂತನ ತಂತ್ರಾಂಶವನ್ನು ಜಾರಿಗೆ ತರಲಾಗಿದೆ.
ದಿನಾಂಕ 07-04-2026 ರಂದು ಹೊರಡಿಸಲಾದ ಅಧಿಕೃತ ಆದೇಶದಂತೆ, ಈ ಹೊಸ ವ್ಯವಸ್ಥೆಯು ಮೇ 1, 2026 ರಿಂದ ರಾಜ್ಯಾದ್ಯಂತ ಜಾರಿಗೆ ಬರಲಿದೆ.
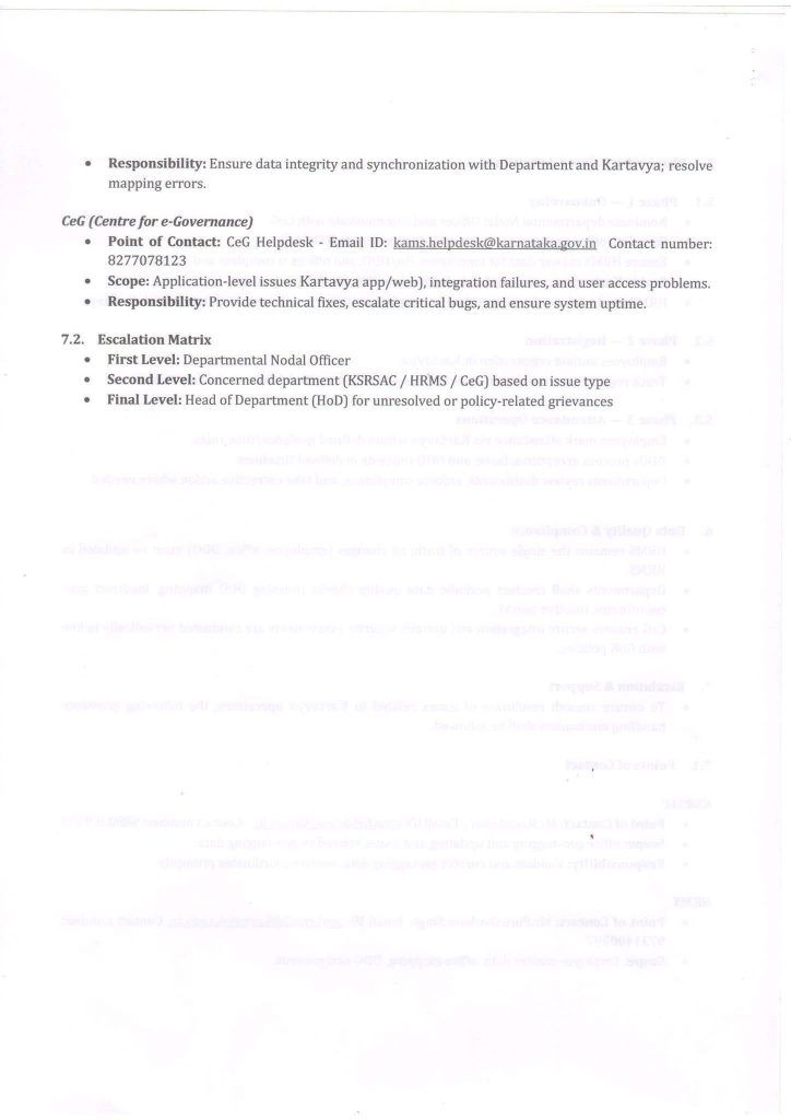
ಏನಿದು ‘ಕರ್ತವ್ಯ’ ಆ್ಯಪ್?
ಇದು ಕರ್ನಾಟಕ ಆಧುನಿಕ ಹಾಜರಾತಿ ನಿರ್ವಹಣಾ ವ್ಯವಸ್ಥೆಯ (KAAMS – Karnataka Advanced Attendance Management System) ಒಂದು ಭಾಗವಾಗಿದೆ. ಕೃತಕ ಬುದ್ಧಿಮತ್ತೆ (AI) ಮತ್ತು ಜಿಯೋ-ಫೆನ್ಸಿಂಗ್ (Geofencing) ತಂತ್ರಜ್ಞಾನವನ್ನು ಬಳಸಿ ಈ ಆ್ಯಪ್ ರೂಪಿಸಲಾಗಿದೆ. ಅಂದರೆ, ನೌಕರರು ತಮ್ಮ ಕಚೇರಿಯ ಆವರಣದಲ್ಲಿದ್ದಾಗ ಮಾತ್ರ ಮೊಬೈಲ್ ಮೂಲಕ ಹಾಜರಾತಿ ದಾಖಲಿಸಲು ಸಾಧ್ಯವಾಗುತ್ತದೆ.
ಸರ್ಕಾರದ ಆದೇಶದ ಪ್ರಮುಖ ಮುಖ್ಯಾಂಶಗಳು:
ಕಡ್ಡಾಯ ಹಾಜರಾತಿ: ರಾಜ್ಯದ ಎಲ್ಲಾ ಇಲಾಖೆಗಳು, ನಿಗಮಗಳು, ಮಂಡಳಿಗಳು ಮತ್ತು ಸಂಸ್ಥೆಗಳ ನೌಕರರು ಮೇ 1 ರಿಂದ ಕಡ್ಡಾಯವಾಗಿ ‘ಕರ್ತವ್ಯ’ ಆ್ಯಪ್ ಮೂಲಕವೇ ಹಾಜರಾತಿ ನೀಡಬೇಕು.
ಪ್ಲಾಟ್ಫಾರ್ಮ್: ಈ ಆ್ಯಪ್ ಆಂಡ್ರಾಯ್ಡ್ (Android) ಮತ್ತು ಐಓಎಸ್ (iOS) ಎರಡೂ ಮಾದರಿಯ ಮೊಬೈಲ್ಗಳಲ್ಲಿ ಲಭ್ಯವಿರುತ್ತದೆ.
ಜಿಯೋ-ಟ್ಯಾಗಿಂಗ್: ಇ-ಆಡಳಿತ ಇಲಾಖೆಯು ಮೇ 1 ರೊಳಗೆ ರಾಜ್ಯದ ಎಲ್ಲಾ ಸರ್ಕಾರಿ ಕಚೇರಿಗಳ ಭೌಗೋಳಿಕ ನಿರ್ದೇಶಾಂಕಗಳನ್ನು (Geo-tag) ಸಿದ್ಧಪಡಿಸಲಿದೆ.
ಸ್ಮಾರ್ಟ್ಫೋನ್ ಇಲ್ಲದವರಿಗೆ ಪರ್ಯಾಯ: ಸ್ಮಾರ್ಟ್ಫೋನ್ ಇಲ್ಲದ ನೌಕರರಿಗಾಗಿ ವಿಧಾನಸೌಧ, ವಿಕಾಸಸೌಧದಂತಹ ಪ್ರಮುಖ ಕಟ್ಟಡಗಳಲ್ಲಿ ಪ್ರತ್ಯೇಕ ‘ಕರ್ತವ್ಯ ಡಿವೈಸ್’ಗಳನ್ನು ಅಳವಡಿಸಲಾಗುವುದು.
ನೋಡಲ್ ಅಧಿಕಾರಿಗಳ ನೇಮಕ: ಈ ವ್ಯವಸ್ಥೆಯನ್ನು ಸುಗಮವಾಗಿ ಜಾರಿಗೊಳಿಸಲು ಪ್ರತಿ ಇಲಾಖೆಯಲ್ಲಿ ಒಬ್ಬ ನೋಡಲ್ ಅಧಿಕಾರಿಯನ್ನು ನೇಮಿಸಲು ಸೂಚಿಸಲಾಗಿದೆ.
ಬಯೋಮೆಟ್ರಿಕ್ ಹಿಂಪಡೆಯುವಿಕೆ:
ಹೊಸ ತಂತ್ರಜ್ಞಾನ ಅಳವಡಿಸಿಕೊಳ್ಳುತ್ತಿರುವ ಹಿನ್ನೆಲೆಯಲ್ಲಿ, ಈ ಹಿಂದೆ ಚಾಲ್ತಿಯಲ್ಲಿದ್ದ ಬೆರಳಚ್ಚು ಆಧಾರಿತ (Fingerprint) ಬಯೋಮೆಟ್ರಿಕ್ ಯಂತ್ರಗಳ ಬಳಕೆಯನ್ನು ಸರ್ಕಾರ ಹಿಂಪಡೆದಿದೆ. ನೌಕರರ ದತ್ತಾಂಶಗಳನ್ನು (HRMS/KGID) ಈಗಾಗಲೇ ಈ ಹೊಸ ತಂತ್ರಾಂಶದೊಂದಿಗೆ ಜೋಡಿಸುವ ಪ್ರಕ್ರಿಯೆ ನಡೆಯುತ್ತಿದೆ.
ಈ ಮಹತ್ವದ ಬದಲಾವಣೆಯು ಆಡಳಿತದಲ್ಲಿ ಪಾರದರ್ಶಕತೆ ತರುವ ಜೊತೆಗೆ, ನೌಕರರಿಗೆ ಹಾಜರಾತಿ ದಾಖಲಿಸುವ ಪ್ರಕ್ರಿಯೆಯನ್ನು ಸುಲಭಗೊಳಿಸಲಿದೆ ಎಂದು ಸರ್ಕಾರ ಆಶಿಸಿದೆ.
ಯಶಸ್ವಿ ಪ್ರಯೋಗ: ಈಗಾಗಲೇ ಆರೋಗ್ಯ ಇಲಾಖೆ ಮತ್ತು ಇ-ಆಡಳಿತ ಇಲಾಖೆಗಳಲ್ಲಿ ಈ ವ್ಯವಸ್ಥೆಯನ್ನು ಪ್ರಾಯೋಗಿಕವಾಗಿ ಜಾರಿಗೊಳಿಸಿ ಯಶಸ್ವಿಯಾಗಿದ್ದು, ಈಗ ಇದನ್ನು ಇಡೀ ರಾಜ್ಯಕ್ಕೆ ವಿಸ್ತರಿಸಲಾಗುತ್ತಿದೆ ಎಂದು ಸರ್ಕಾರದ ಕಾರ್ಯದರ್ಶಿಗಳು (ಸಿಬ್ಬಂದಿ ಮತ್ತು ಆಡಳಿತ ಸುಧಾರಣೆ) ತಮ್ಮ ಆದೇಶದಲ್ಲಿ ತಿಳಿಸಿದ್ದಾರೆ.
ಈ ಹೊಸ ಕ್ರಮದಿಂದಾಗಿ ಹಾಜರಾತಿ ವ್ಯವಸ್ಥೆಯಲ್ಲಿ ಇನ್ನಷ್ಟು ಪಾರದರ್ಶಕತೆ ಬರಲಿದ್ದು, ನೌಕರರು ಸರತಿ ಸಾಲಿನಲ್ಲಿ ನಿಂತು ಬಯೋಮೆಟ್ರಿಕ್ ಹಾಕುವ ಸಮಯ ಉಳಿತಾಯವಾಗಲಿದೆ.









