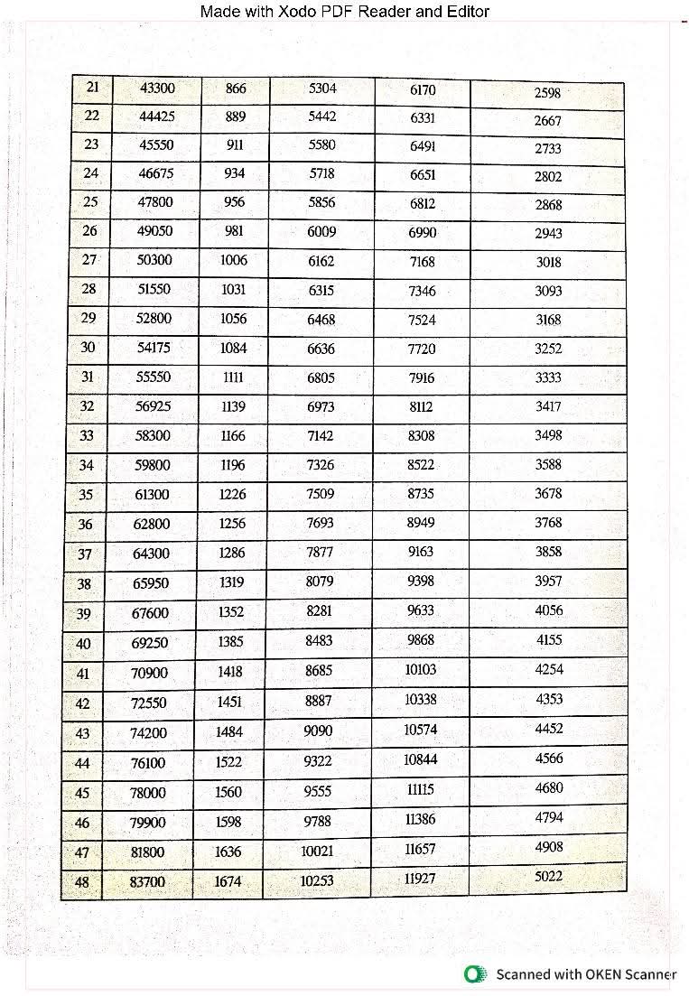
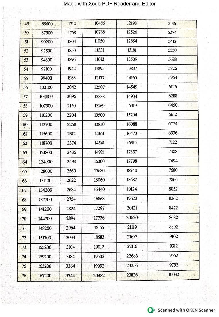
ಬೆಂಗಳೂರು: ರಾಜ್ಯ ಸರ್ಕಾರಿ ನೌಕರರಿಗೆ ದೀಪಾವಳಿ ಗಿಫ್ಟ್ ಸಿಕ್ಕಿದೆ. 2024ರ ಪರಿಷ್ಕೃತ ವೇತನ ಶ್ರೇಣಿಗಳಲ್ಲಿ ವೇತನ ಪಡೆಯುತ್ತಿರುವ ನೌಕರರಿಗೆ ಜು.1ರಿಂದ ಜಾರಿಗೆ ಬರುವಂತೆ ತುಟ್ಟಿ ಭತ್ಯೆಯನ್ನು ಸರ್ಕಾರ ಪರಿಷ್ಕರಿಸಿದೆ. ಈ ಸಂಬಂಧ ಸರ್ಕಾರ ಬುಧವಾರ ಆದೇಶ ಹೊರಡಿಸಿದ್ದು, ಪ್ರಸ್ತುತ ಮೂಲ ವೇತನದ ಶೇ.12.25ರಿಂದ ಶೇ.14.25ಕ್ಕೆ ಪರಿಷ್ಕರಿಸಿ ಮಂಜೂರು ಮಾಡಲಾಗಿದೆ.
ಈ ಕುರಿತಂತೆ ರಾಜ್ಯ ಸರ್ಕಾರದಿಂದ ಅಧಿಕೃತ ಆದೇಶ ಹೊರಿಡಿಸಿದ್ದು, 2024ರ ಪರಿಷ್ಕೃತ ವೇತನ ಶ್ರೇಣಿಗಳಲ್ಲಿ ವೇತನವನ್ನು ಪಡೆಯುತ್ತಿರುವ ರಾಜ್ಯ ಸರ್ಕಾರಿ ನೌಕರರುಗಳಿಗೆ 1ನೇ ಜುಲೈ 2025 ರಿಂದ ಜಾರಿಗೆ ಬರುವಂತೆ ತುಟ್ಟಿಭತ್ಯೆಯ ದರಗಳನ್ನು ಪ್ರಸ್ತುತ ಮೂಲ ವೇತನದ ಶೇಕಡ 12.25 ರಿಂದ ಶೇಕಡ 14.25 ಗೆ ಪರಿಷ್ಕರಿಸಿ ಮಂಜೂರು ಮಾಡಲು ಸರ್ಕಾರವು ಹರ್ಷಿಸುತ್ತದೆ ಎಂದಿದೆ.
ತುಟ್ಟಿಭತ್ಯೆಯ ಉದ್ದೇಶಕ್ಕಾಗಿ “ಮೂಲ ವೇತನ” ಎಂದರೆ ಸರ್ಕಾರಿ ನೌಕರನು ಧಾರಣ ಮಾಡಿರುವ ಹುದ್ದೆಗೆ ಅನ್ವಯವಾಗುವ ವೇತನ ಶ್ರೇಣಿಯಲ್ಲಿ ಪಡೆಯುತ್ತಿರುವ ವೇತನ ಮತ್ತು ಅದರಲ್ಲಿ,
(ಅ) 2024ರ ಪರಿಷ್ಕೃತ ವೇತನ ಶ್ರೇಣಿಗಳಲ್ಲಿ ವೇತನ ಶ್ರೇಣಿಯ ಗರಿಷ್ಠಕ್ಕಿಂತ ಹೆಚ್ಚಾಗಿ ಅವನಿಗೆ ಸ್ಥಗಿತ ವೇತನ ಬಡ್ತಿಯನ್ನು ನೀಡಲಾಗಿದ್ದರೆ, ಆ ಸ್ಥಗಿತ ವೇತನ ಬಡ್ತಿ,
(ಆ) 2024ರ ಕರ್ನಾಟಕ ನಾಗರಿಕ ಸೇವಾ (ಪರಿಷ್ಕೃತ ವೇತನ) ನಿಯಮಗಳ ನಿಯಮ 3(ಸಿ) ಯನ್ನು ಓದಿಕೊಂಡು 7ನೇ ನಿಯಮದ (3)ನೇ ಉಪನಿಯಮದ ಮೇರೆಗೆ ಅವನಿಗೆ ನೀಡಲಾದ ವೈಯಕ್ತಿಕ ವೇತನ ಯಾವುದಾದರೂ ಇದ್ದರೆ, ಆ ವೈಯಕ್ತಿಕ ವೇತನ,
(ಇ) ವೇತನ ಶ್ರೇಣಿಯ ಗರಿಷ್ಠಕ್ಕಿಂತ ಹೆಚ್ಚಾಗಿ ಅವನಿಗೆ ಮಂಜೂರು ಮಾಡಲಾಗಿರುವ ಹೆಚ್ಚುವರಿ ವೇತನ ಬಡ್ತಿ ಯಾವುದಾದರೂ ಇದ್ದಲ್ಲಿ, ಅವುಗಳು ಸೇರುತ್ತವೆ.
3. ತುಟ್ಟಿ ಭತ್ಯೆಯ ಮಂಜೂರಾತಿಯ ಉದ್ದೇಶಕ್ಕಾಗಿ ಮೂಲ ವೇತನಕ್ಕೆ ಮೇಲೆ ಸೂಚಿಸಿರುವುದನ್ನು ಹೊರತುಪಡಿಸಿ ಇತರೆ ಯಾವುದೇ ಉಪಲಬ್ಧಗಳನ್ನು ಸೇರಿಸತಕ್ಕದ್ದಲ್ಲ.
ರಾಜ್ಯ ಸರ್ಕಾರದ ನಿವೃತ್ತಿ ವೇತನದಾರರು/ಕುಟುಂಬ ನಿವೃತ್ತಿ ವೇತನದಾರರಿಗೆ ಮತ್ತು ರಾಜ್ಯದ ಸಂಚಿತ ನಿಧಿಯಿಂದ ನಿವೃತ್ತಿ ವೇತನ ಮತ್ತು ಕುಟುಂಬ ನಿವೃತ್ತಿ ವೇತನವನ್ನು ಪಡೆಯುತ್ತಿರುವಂತಹ ಅನುದಾನಿತ ಶಿಕ್ಷಣ ಸಂಸ್ಥೆಗಳ ನಿವೃತ್ತಿ ವೇತನದಾರರು/ಕುಟುಂಬ ನಿವೃತ್ತಿ ವೇತನದಾರರಿಗೂ ಸಹ ದಿನಾಂಕ 1ನೇ ಜುಲೈ 2025 ರಿಂದ ಜಾರಿಗೆ ಬರುವಂತೆ ಹಾಲಿ ಲಭ್ಯವಿರುವ ತುಟ್ಟಿಭತ್ಯೆಯ ದರಗಳನ್ನು ಮೂಲ ನಿವೃತ್ತಿ ವೇತನ/ಕುಟುಂಬ ನಿವೃತ್ತಿ ವೇತನದ ಪ್ರಸಕ್ತ ಶೇಕಡ 12.25 ರಿಂದ ಶೇಕಡ 14.25 ಕ್ಕೆ ಹೆಚ್ಚಿಸಿ ಮಂಜೂರು ಮಾಡಲು ಸಹ ಸರ್ಕಾರವು ಹರ್ಷಿಸುತ್ತದೆ.
5. ತುಟ್ಟಿ ಭತ್ಯೆಯ ಮಂಜೂರಾತಿಯ ಉದ್ದೇಶಕ್ಕಾಗಿ ಕ.ನಾ.ಸೇ(ಪ.ವೇ) ನಿಯಮಗಳು, 2024ರ ನಿಯಮ 3ರಲ್ಲಿ ಸೂಚಿಸಿರುವ ಮತ್ತು ಸದರಿ ನಿಯಮದಡಿ ಹೊರಡಿಸಿರುವ ಆದೇಶಗಳಲ್ಲಿ ಸೂಚಿಸಿರುವ ಮೂಲ ನಿವೃತ್ತಿ ವೇತನ/ಕುಟುಂಬ ನಿವೃತ್ತಿ ವೇತನವನ್ನು ಹೊರತುಪಡಿಸಿ ಇತರೆ ಯಾವುದೇ ಉಪಲಬ್ಧಗಳನ್ನು ಸೇರಿಸತಕ್ಕದ್ದಲ್ಲ.
6. ಯುಜಿಸಿ/ಎಐಸಿಟಿಇ/ಐಸಿಎಆರ್ ವೇತನ ಶ್ರೇಣಿಗಳ ನಿವೃತ್ತ ನೌಕರರುಗಳಿಗೂ ಸಹ ಈ ಆದೇಶಗಳು ಅನ್ವಯಿಸುತ್ತವೆ.
7. ಸರ್ಕಾರದ ಮತ್ತು ಜಿಲ್ಲಾ ಪಂಚಾಯತ್ಗಳ ಪೂರ್ಣಾವಧಿ ನೌಕರರಿಗೆ, ಕಾಲಿಕ ವೇತನ ಶ್ರೇಣಿಗಳಲ್ಲಿರುವ ಪೂರ್ಣಾವಧಿ ವರ್ಕ್ಚಾರ್ಜ್ ನೌಕರರಿಗೆ ಹಾಗೂ ಸರ್ಕಾರದಿಂದ ಸಹಾಯಾನುದಾನ ಪಡೆಯುತ್ತಿರುವ ಶಿಕ್ಷಣ ಸಂಸ್ಥೆಗಳಲ್ಲಿ ಮತ್ತು ವಿಶ್ವವಿದ್ಯಾಲಯಗಳಲ್ಲಿ ಕಾಲಿಕ ವೇತನ ಶ್ರೇಣಿಗಳಲ್ಲಿರುವ ಪೂರ್ಣಾವಧಿ ನೌಕರರುಗಳಿಗೆ ಈ ಆದೇಶ ಅನ್ವಯಿಸುತ್ತದೆ.
8. ಯುಜಿಸಿ/ಎಐಸಿಟಿಇ/ಐಸಿಎಆರ್ ವೇತನ ಶ್ರೇಣಿಗಳಲ್ಲಿ ವೇತನ ಪಡೆಯುತ್ತಿರುವ ನೌಕರರಿಗೆ ಮತ್ತು ಎನ್ಜೆಪಿಸಿ ವೇತನ ಶ್ರೇಣಿಗಳ ನ್ಯಾಯಾಂಗ ಅಧಿಕಾರಿಗಳಿಗೆ ಸಂಬಂಧಿಸಿದಂತೆ ಪ್ರತ್ಯೇಕ ಆದೇಶಗಳನ್ನು ಹೊರಡಿಸಲಾಗುವುದು.
9. ಈ ಆದೇಶದ ಮೇರೆಗೆ ಲಭ್ಯವಿರುವ ತುಟ್ಟಿ ಭತ್ಯೆಯನ್ನು ಮುಂದಿನ ಆದೇಶದವರೆಗೆ ನಗದಾಗಿ ಪಾವತಿ ಮಾಡುವುದು.
10.ತುಟ್ಟಿಭತ್ಯೆಯ ಕಾರಣದಿಂದ ಸಂದಾಯ ಮಾಡಬೇಕಾಗಿರುವ ಐವತ್ತು ಪೈಸೆ ಹಾಗೂ ಅದಕ್ಕಿಂತ ಹೆಚ್ಚಿನ ಭಿನ್ನಾಂಕಗಳನ್ನು ಮುಂದಿನ ರೂಪಾಯಿಗೆ ಪೂರ್ಣಗೊಳಿಸತಕ್ಕದ್ದು ಮತ್ತು ಐವತ್ತು ಪೈಸೆಗಿಂತ ಕಡಿಮೆ ಇರುವ ಭಿನ್ನಾಂಕಗಳನ್ನು ಕಡೆಗಣಿಸತಕ್ಕದ್ದು.
11. ತುಟ್ಟಿ ಭತ್ಯೆ ಬಾಕಿ ಮೊತ್ತವನ್ನು, 2025ರ ಅಕ್ಟೋಬರ್ ಮಾಹೆಯ ವೇತನ ಬಟವಾಡೆಗೂ ಮೊದಲು ಪಾವತಿ ಮಾಡತಕ್ಕದ್ದಲ್ಲ.
12. ತುಟ್ಟಿಭತ್ಯೆಯನ್ನು ಸಂಭಾವನೆಯ ವಿಶಿಷ್ಟ ಅಂಶವಾಗಿ ತೋರಿಸುವುದು ಮತ್ತು ಯಾವುದೇ ಉದ್ದೇಶಕ್ಕಾಗಿ ಇದನ್ನು ವೇತನ ಎಂದು ಪರಿಗಣಿಸಲಾಗುವುದಿಲ್ಲ.










