ಬೆಂಗಳೂರು : ಕಾಲೇಜು ಶಿಕ್ಷಣ ಇಲಾಖೆ ವ್ಯಾಪ್ತಿಯ ಸರ್ಕಾರಿ ಕಾಲೇಜುಗಳಲ್ಲಿ ಕರ್ತವ್ಯ ನಿರ್ವಹಿಸುತ್ತಿರುವ ಅತಿಥಿ ಉಪನ್ಯಾಸಕರುಗಳಿಗೆ ನವಂಬರ್- 2025ರ ಮಾಹೆಯ ಗೌರವಧನ ಪಾವತಿಸಲು ಅನುದಾನ ಬಿಡುಗಡೆ ಮಾಡುವ ಬಗ್ಗೆ ಮಹತ್ವದ ಆದೇಶ ಹೊರಡಿಸಿದೆ.
ಇಲಾಖಾ ವ್ಯಾಪ್ತಿಯ ಸರ್ಕಾರಿ ಪ್ರಥಮ ದರ್ಜೆ ಕಾಲೇಜುಗಳಲ್ಲಿ ಕರ್ತವ್ಯ ನಿರ್ವಹಿಸುತ್ತಿರುವ ಅತಿಥಿ ಉಪನ್ಯಾಸಕರುಗಳಿಗೆ ನವಂಬರ್- 2025 ರ ಮಾಹೆಯ ಗೌರವಧನ ಪಾವತಿಸಲು ಅಗತ್ಯ ಇರುವ ಅನುದಾನಕ್ಕಾಗಿ ಬೇಡಿಕೆ ಸಲ್ಲಿಸಲು ಇಲಾಖಾ ವ್ಯಾಪ್ತಿಯ ಎಲ್ಲಾ ಸರ್ಕಾರಿ ಪದವಿ ಕಾಲೇಜುಗಳ ಪ್ರಾಂಶುಪಾಲರುಗಳಿಗೆ ಸೂಚಿಸಲಾಗಿತ್ತು. 436 ಸರ್ಕಾರಿ ಪ್ರಥಮ ದರ್ಜೆ ಕಾಲೇಜುಗಳ ಪ್ರಾಂಶುಪಾಲರುಗಳು ಅನುದಾನಕ್ಕಾಗಿ ಬೇಡಿಕೆ ಸಲ್ಲಿಸಿದ್ದು, ಅದರಂತೆ ಅನುದಾನ ಬಿಡುಗಡೆ ಮಾಡಲು ಈ ಆದೇಶ.
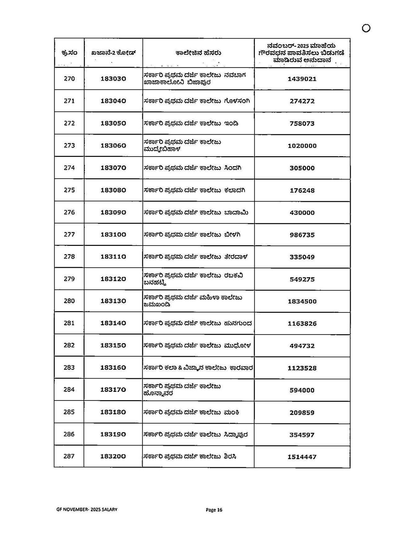
ಇಲಾಖಾ ವ್ಯಾಪ್ತಿಯ ಸರ್ಕಾರಿ ಪ್ರಥಮ ದರ್ಜೆ ಕಾಲೇಜುಗಳಲ್ಲಿ ಕರ್ತವ್ಯ ನಿರ್ವಹಿಸುತ್ತಿರುವ ಅತಿಥಿ ಉಪನ್ಯಾಸಕರುಗಳಿಗೆ ಗೌರವಧನ ಪಾವತಿಸಲು ಲೆ ಶೀ 2202-03-103-2-01 ಸರ್ಕಾರಿ ಪ್ರಥಮ ದರ್ಜೆ ಕಾಲೇಜುಗಳು ಉಪ ಲೆಕ್ಕ ಶೀರ್ಷಿಕೆ ‘324’ ಅತಿಥಿ ಉಪನ್ಯಾಸಕರ ಗೌರವಧನ ರಡಿಯಲ್ಲಿ ನವಂಬರ್- 2025 ರ ಮಾಹೆಯ ಗೌರವಧನ ಪಾವತಿಸಲು ಒಟ್ಟು ರೂ.28,18,63,273/- (ಇಪ್ಪತ್ತೆಂಟು ಕೋಟಿ ಹದಿನೆಂಟು ಲಕ್ಷದ ಅರವತ್ತೂರು ಸಾವಿರದ ಎರಡು ನೂರ ಎಪ್ಪತ್ತಮೂರು ಮಾತ್ರ) ಗಳನ್ನು ಆದೇಶಕ್ಕೆ ಲಗತ್ತಿಸಿರುವ ಅನುಬಂಧದಲ್ಲಿರುವ ವಿವರಗಳಂತೆ ಸಂಬಂಧಪಟ್ಟ ಪ್ರಾಂಶುಪಾಲರುಗಳಿಗೆ ಬಿಡುಗಡೆ ಮಾಡಿ ನಿಯಮಾನುಸಾರ ಬಳಕೆ ಮಾಡಲು ಅನುಮತಿ ನೀಡಲಾಗಿದೆ.
ಷರತುಗಳು;
1. ಉಲ್ಲೇಖಿತ ಸರ್ಕಾರದ ಆದೇಶದಲ್ಲಿನ ಎಲ್ಲಾ ಷರತ್ತುಗಳನ್ನು ಕಡ್ಡಾಯವಾಗಿ ಪಾಲಿಸುವುದು.
2. ಅತಿಥಿ ಉಪನ್ಯಾಸಕರುಗಳು ನಿಯಮಾನುಸಾರ ಕಾರ್ಯಭಾರ ನಿರ್ವಹಿಸಿದ್ದಲ್ಲಿ ಮಾತ್ರ ಗೌರವಧನ ಪಾವತಿಸುವುದು. ತಪ್ಪಾದ ಪಾವತಿಗೆ ಸಂಬಂಧಪಟ್ಟ ಬಟವಾಡೆ ಅಧಿಕಾರಿಗಳೇ ಜವಾಬ್ದಾರರಾಗುವರು.
3. ಅತಿಥಿ ಉಪನ್ಯಾಸಕರುಗಳ ದಿನಚರಿ ವಹಿಯನ್ನು ಸಂಬಂಧಪಟ್ಟ ವಿಭಾಗದ ಮುಖ್ಯಸ್ಥರು ಹಾಗೂ ಪ್ರಾಂಶುಪಾಲರು ದೃಢೀಕರಿಸುವುದು. ನಿದದಿತ ಕಾರ್ಯಭಾರ ಪೂರ್ಣಗೊಳಿಸಿದ್ದಲ್ಲಿ ಮಾತ್ರ ಗೌರವಧನ ಪಾವತಿಸುವುದು.
4. ನೇಮಕಾತಿ/ ವರ್ಗಾವಣೆ ಹೊಂದಿ ಪೂರ್ಣಕಾಲಿಕ ಬೋಧಕರು ಕಾಲೇಜಿನಲ್ಲಿ ವರದಿ ಮಾಡಿಕೊಂಡಲ್ಲಿ ಸದರಿ ವಿಷಯದ ಅತಿಥಿ ಉಪನ್ಯಾಸಕರನ್ನು ಕೂಡಲೇ ಬಿಡುಗಡೆ ಮಾಡತಕ್ಕದ್ದು,
5. ಪ್ರಸ್ತುತ ಬಿಡುಗಡೆ ಮಾಡಿರುವ ಅನುದಾನವನ್ನು ದಿನಾಂಕ: 20.12.2025 ರ ಒಳಗಾಗಿ ಬಳಕೆ ಮಾಡಿಕೊಂಡು ಬಳಕೆ ಪ್ರಮಾಣ ಪತ್ರ ಸಲ್ಲಿಸುವುದು.









